2023, 32(6):1099-1108. DOI: 10.12024/jsou.20230504200
摘要:为了增强冲击式速冻机内的传热强度和均匀性,本文以冲击式速冻机试验台为依托,提出了一种新型喷嘴结构——圆漏斗喷嘴。在该试验台被试验验证可靠的基础上,利用数值模拟技术对该试验台流场进行了模拟计算,利用Minitab软件中的Plackett-Burman设计从圆漏斗喷嘴出口直径DE、漏斗宽度L3、漏斗高度L1、射流高度L2、喷嘴排数N、喷嘴间隙S和喷嘴到钢带的距离H等7个因素中得到漏斗宽度、射流高度和喷嘴排数等3个因素为影响钢带表面努塞尔数和传热均匀度的显著性因素,然后利用Box-Behnken设计,建立3个显著性因素与钢带表面平均努塞尔数Nuave和传热均匀指标η等2个响应值之间的数学模型,确定喷嘴最佳的结构参数。结果表明:最佳结果参数为漏斗宽度17 mm、射流高度50 mm、喷嘴排数为3;在此条件下钢带表面Nuave为448.68、传热均匀指标为0.232 9,通过数值模拟得到的值与方程预测值总体吻合,说明优化得到的圆漏斗喷嘴的新型结构参数能够使速冻机的速冻效率达到最佳。
2023, 32(6):1109-1122. DOI: 10.12024/jsou.20230504181
摘要:低温存储与生物医疗领域协同发展,制冷技术可以有效地为样品低温存储提供合适的温度,确保样品的质量控制,为后续疾病诊断或疗效评价提供保障,合理选择制冷技术对于低温存储与生物医疗的发展意义重大。本文分析了生物样品低温特性,结合国内外的文献,从冷藏、冷冻、低温、超低温4种温区综述了制冷技术在生物样品存储中的应用现状,并对各种制冷技术的优缺点进行对比,归纳出同一温区下最优制冷技术,最后论述了制约生物样品低温存储的设备瓶颈问题,提出了生物样品低温存储制冷技术的发展方向,旨在为生物医疗领域制冷技术的发展提供一定的参考。
2023, 32(6):1123-1134. DOI: 10.12024/jsou.20230204087
摘要:为提高刺参(Stichopus japonisus)性腺利用率,制备风味较佳的海鲜风味调味料。以刺参性腺酶解物为研究对象,加入D-木糖和L-半胱氨酸进行美拉德反应,结合低分子质量香味中间体、褐变程度、游离氨基酸、呈味核苷酸和挥发性物质等指标分析刺参性腺酶解物滋味和气味的变化。结果表明:美拉德反应后,鲜味、甜味游离氨基酸含量显著增加,苦味游离氨基酸占比减少;AMP为刺参性腺酶解物中主要的呈味核苷酸,且反应后含量显著下降;关键风味化合物种类和数量均增加,醛类为主要的挥发性风味成分,苯甲醛是反应前后的最主要差异物质,吡嗪、噻吩和2-乙基呋喃是美拉德反应形成的特征性风味物质。刺参肠酶解物/D-木糖/L-半胱氨酸美拉德反应产物具有良好的风味,为高品质调味基料和功能性食品的开发提供应用参考。
2023, 32(6):1135-1143. DOI: 10.12024/jsou.20230304112
摘要:黄曲霉毒素B1(Aflatoxin B1,AFB1)分布广、肝毒性强,能够导致肝脏氧化性损伤。本研究通过注射AFB1建立大鼠急性肝损伤模型,探究具有抗氧化活性的壳寡糖(Chitosan oligosaccharide,COS)对肝损伤的干预效果及方式。实验设置空白组、COS对照组、模型组、COS干预组、阳性对照组,连续灌胃8 d,模型组、COS干预和阳性对照组仅在第6天注射1 mg/kg AFB1。以大鼠血清肝功能指标、脂质过氧化物含量、抗氧化酶活性以及肝脏组织切片,评价COS对肝损伤的干预效果,并利用RNA测序(RNA-Seq)技术获得差异表达基因(Differentially expressed genes,DEGs)以分析COS干预方式。结果表明:与模型组相比,COS干预组显著降低了血清肝功能指标和脂质过氧化物含量,提高了抗氧化酶活性;肝脏切片观察显示COS有利于改善大鼠肝脏形态;RNA-Seq数据表明,COS干预组和模型组比较共有968个DEGs,富集的基因本体(Gene ontology,GO)条目主要与肝脏代谢功能、氧化应激反应和蛋白质合成相关。综上,COS对AFB1引起的急性肝损伤具有一定的干预作用,为COS用于预防AFB1诱导的肝损伤提供理论参考依据。
2023, 32(6):1144-1154. DOI: 10.12024/jsou.20221104035
摘要:利用响应面法对日本鳗鱼(Anguilla japonica)皮胶原蛋白的提取工艺进行优化,并对其理化性质和致敏性进行研究。采用酸酶浸提法提取鱼皮胶原蛋白,基于单因素试验,以料液比、提取液浓度和提取时间作为考察因素,以胶原蛋白得率为指标,得到最佳提取工艺:料液比1∶30 g/mL,提取液浓度0.6 mol/L,提取时间48 h,胶原蛋白得率为32.89%。将优化后得到的胶原蛋白进行理化性质表征分析,SDS-PAGE结果表明,胶原蛋白含有5个条带,属于Ⅰ型胶原蛋白;必需氨基酸和药用氨基酸占比分别为19.61%和11.04%;傅里叶红外光谱(FTIR)光谱显示其保留了完整的三螺旋结构;在230 nm处有最大的紫外吸收峰;由扫描电镜(SEM)显示胶原蛋白的微观结构呈现出纤维状结构;胶原蛋白的热转变温度和热变性温度分别为38.5和28.3 ℃;酶联免疫吸附反应(ELISA)和模拟胃肠液实验可知胶原蛋白具有一定的致敏原性,为鳗鱼皮胶原蛋白的进一步研究提供理论基础。
2023, 32(6):1155-1164. DOI: 10.12024/jsou.20230104059
摘要:食源性二肽基肽酶Ⅳ(Dipeptidyl peptidase-Ⅳ,DPP-Ⅳ)抑制肽和抗氧化肽分别有助于清除体内自由基和调节机体血糖。为实现脱脂南极磷虾粉的高值化利用,以及为糖尿病治疗寻找新方法,本研究从脱脂南极磷虾粉酶解产物中制备DPP-Ⅳ抑制肽和抗氧化肽段。使用碱性蛋白酶、中性蛋白酶和胰酶水解脱脂南极磷虾粉,探究时间与水解度、活性、产率的关系,并分离纯化多肽,最后通过分子对接确定抑制作用位点。结果表明,酶解液经超滤、Sephadex G15分离纯化和液相-质谱联用技术鉴定后,得到了4条具有DPP-Ⅳ抑制和抗氧化作用的肽,氨基酸序列分别为WPPLSPFRCPR、IPDWFLNRQ、FLWLKKTPLPL和DTVPWFPR。其中IPDWFLNRQ具备较高的DPP-Ⅳ抑制活性,DPP-Ⅳ抑制活性IC50值为(0.616±0.097) mmol/L;WPPLSPFRCPR具有较高的抗氧化活性,DPPH EC50值为(0.098 3±0.011) mmol/L,ABTS EC50值为(0.116±0.073) mmol/L。分子对接结果表明这4个肽主要通过氢键与DPP-Ⅳ活性中心及其以外的位点相结合,从而达到抑制DPPP-Ⅳ活性的作用。本研究基于脱脂南极磷虾粉制备食源性DPP-Ⅳ抑制肽和抗氧化肽,以期为南极磷虾粉的开发利用提供理论依据。
林海生,冯畅,王雯,袁建军,陈洪彬,杨维,曾堉斯,郑梦琪,范明珊,杨海明,邓旗
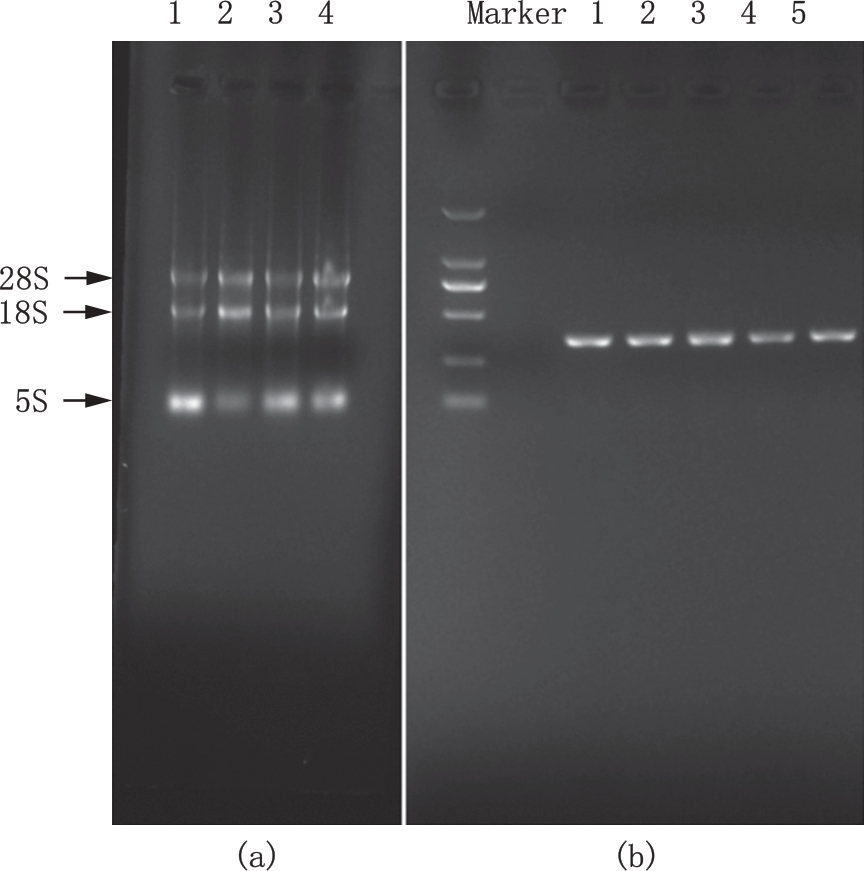
2023, 32(6):1165-1175. DOI: 10.12024/jsou.20220503872
摘要:以方格星虫(Sipunculus nudus)体壁为原料,分别采用酸法、酶法和热水法提取胶原蛋白并对其理化性质进行分析;通过检测氨基酸组成、紫外光谱、傅里叶红外光谱、SEM扫描电镜分析比较了3种胶原蛋白的特性,并采用HaCaT细胞,探讨3种酶解产物对其生长活力的影响。结果表明,热水法提取胶原蛋白的提取得率高于其他两种方法,3种胶原蛋白均含有胶原特征型氨基酸甘氨酸Gly、脯氨酸Pro和羟脯氨酸Hyp。紫外和红外光谱图显示,3种胶原蛋白均在222 nm附近有明显的吸收峰,且存在酰胺A、酰胺B的吸收峰和酰胺Ⅰ、Ⅱ、Ⅲ的特征峰,提示3种胶原蛋白均属于Ⅰ型胶原蛋白,具有三股螺旋结构。而扫描电镜结果显示,相比于酶法和热水法,酸法提取的胶原蛋白三股螺旋结构保持更为完整,且较好地维持胶原纤维的原有结构。3种胶原蛋白酶解肽在50~100 μg/mL时,能够显著提高正常和UVB损伤的HaCaT细胞活力,表明方格星虫胶原蛋白的酶解产物在皮肤光老化修复方面具有较好的潜在应用前景。
2023, 32(6):1176-1183. DOI: 10.12024/jsou.20221004005
摘要:利用MISA软件对3种鲌亚科鱼类全基因组中的完整型微卫星进行了搜索,并对其分布特征及规律进行了分析。结果表明:在翘嘴鲌(Culter alburnus, 1.055 Gb)、浪白鱼(Anabarilius grahami, 1.006 Gb)和团头鲂(Megalobrama amblycephala, 1.116 Gb)全基因组中,分别筛选出772 276、548 726和772 329个完整型微卫星。相对丰度分别为732.0,553.2和691.2个/Mb。微卫星总长度分别为14.29,9.42和15.02 Mb,分别占基因组序列总长度的1.35%,0.94%和1.35%。在1~6个不同碱基重复类型完整型微卫星中,3种鲌亚科鱼类的6种碱基类型数目排序是一致的。均是单碱基重复数目最多,然后依次是二碱基、四碱基、三碱基、五碱基和六碱基。3种鱼三碱基和四碱基重复中数量最多的分别是AAT和AGAT,但在翘嘴鲌二碱基重复中,AT重复微卫星的数量要多于AC重复。3种鱼中不同碱基类型微卫星分布频率随着重复单元拷贝数和长度的增加呈递减趋势,其微卫星重复单元长度主要分布在10~30 bp,分别占微卫星总数的90.54%、94.27%和89.17%。本研究结果可为进一步研究鲌亚科基因组特征提供参考,并为今后进行这3种鱼的分子标记辅助育种及遗传信息评估等工作提供基础资料。
2023, 32(6):1184-1194. DOI: 10.12024/jsou.20221204051
摘要:为研究广州、上海、成都3地的福寿螺在不同温度、不同盐度、不同溶解氧环境胁迫下,肝胰脏超氧化物歧化酶(SOD)活性及丙二醛(MDA)含量的变化情况,阐明环境胁迫对福寿螺生理的影响机理。结果表明:在温度、溶解氧、盐度单因子胁迫下,福寿螺肝胰脏的SOD活性、MDA含量均呈先上升后下降的变化趋势,且在24 ~48 h时达到最大值,在72 h时恢复到初始水平。在温度-盐度复合胁迫下,福寿螺肝胰脏SOD活性及MDA含量高于单因素胁迫,温度和盐度表现出协同作用。单因素或复合胁迫下,福寿螺肝胰脏SOD活性及MDA含量存在地区差异。
2023, 32(6):1195-1204. DOI: 10.12024/jsou.20221004008
摘要:为研究饲料中添加丁酸梭菌(Clostridium butyricum)对草鱼(Ctenopharyngodon idella)生长性能及血清酶活、免疫功能和抗病能力的影响,选用初始体质量为(23.78±0.68) g的健康草鱼600尾,随机分为4组,每组3个重复,每个重复50尾。对照组(T0组)只投喂基础饲料,实验组(T1、T2、T3组)分别投喂添加1×107、1×108、1×109 cfu/g 丁酸梭菌的饲料,实验周期为56 d。结果表明:与T0组相比,T1、T2和T3组草鱼的增重率(WGR)和特定生长率(SGR)显著增加,存活率(SR)无显著差异。与T0组相比,T1、T2和T3组草鱼的血清超氧化物歧化酶(SOD)、过氧化氢酶(CAT)、溶菌酶(LZM)活性显著增高,补体C3含量显著增高,但谷丙转氨酶(ALT)、谷草转氨酶(AST)活性显著降低。与T0组相比,T1、T2和T3组草鱼的免疫相关基因白细胞介素-8(IL-8)、白细胞介素-1β(IL-1β)、免疫球蛋白M(IgM)和肿瘤坏死因子-α(TNF-α)的mRNA相对表达量显著上调。投喂益生菌56 d后,用嗜水气单胞菌(Aeromonas hydrophila)对草鱼进行攻毒实验,与T0组相比,T1、T2和T3组草鱼的累积死亡率显著降低。综上所述,饲料中添加丁酸梭菌可以提高草鱼的生长性能、血清抗氧化能力、机体免疫力以及抗病能力。
李彦先,王晓东,胡海滨,张健,梅逸强,潘雷雷,姜瑞丽,宋涛,贠彪,庄界成,解绶启,钱雪桥
2023, 32(6):1205-1215. DOI: 10.12024/jsou.20220903971
摘要:线鳢(Channa striata)是东南亚广泛养殖的一种高经济价值淡水肉食性鱼类,但中成鱼阶段(体质量>100 g)线鳢的基础营养需求研究尚处于空白阶段。本研究首先通过添加不同水平鱼粉,设计6组等脂的蛋白梯度实验饲料,探索中成鱼阶段线鳢(初始体质量约150 g)的最适蛋白需求量。养殖实验持续8周,每日两餐饱食投喂。结果显示,当饲料脂肪含量为15%时,随着饲料蛋白含量从36%升高到51%,线鳢的生长性能和饲料效率先升高后趋稳定,而蛋白沉积率则先升高后降低。回归模型拟合增重率和蛋白沉积率,获得中成鱼阶段线鳢对饲料蛋白的最适需求量分别为41.5%和42.3%。在获得最适蛋白需求的基础上,通过添加不同水平的大豆磷脂油,设计6组等氮的脂肪梯度实验饲料,研究中成鱼阶段线鳢(初始体质量约150 g)对饲料中脂肪的最适需求量。养殖实验持续8周,每日两餐饱食投喂。结果显示,当饲料蛋白含量为42%时,随着饲料脂肪从9%升高到19%,线鳢的生长性能和饲料效率先升高后趋稳定,而脂肪沉积率则先升高后降低。回归模型拟合增重率和蛋白沉积率,获得中成鱼阶段线鳢对饲料脂肪的最适需求量分别为15.2%和15.3%。综上,中成鱼阶段线鳢对饲料蛋白和脂肪的最适需求量分别为41.5%~42.3%和15.2%~15.3%。
2023, 32(6):1216-1223. DOI: 10.12024/jsou.20220603885
摘要:为了揭示嗜水气单胞菌的耐药潜力,运用微量肉汤稀释法和比较基因组学方法对其进行了分析。结果显示:恩诺沙星、硫酸新霉素、氟苯尼考、盐酸多西环素对3株菌株有抑制作用,而磺胺间甲氧嘧啶对3株菌株均无抑制作用。菌株的耐药表型未与耐药基因一一对应,某些菌株虽然未注释到耐药基因,也可以表现出相关耐药表型;自测的3株菌株基因组大小差异较大,亲缘关系非近缘,但耐药基因数量基本一致;经ANI(平均核苷酸一致性)计算后,基因组比较分析发现嗜水气单胞菌基因组具有较强的可变性,即使是近缘菌株,其基因组间仍有较大差异;系统发育分析显示,不同宿主来源的菌株在进化树上呈现分散分布,近缘菌株分布在不同国家和地区;所有菌株在CARD(综合抗生素耐药性数据库)中共注释到21种耐药基因,其中7种耐药基因为所有菌株共享。造成这一现象的原因,很可能是由于嗜水气单胞菌基因组较强的可变性以及其宿主分布的广泛性,菌株间进行频繁的基因交流,促进了耐药基因在整个物种的快速扩散,所以即使菌株间基因组变化较大,但耐药基因在菌株间的变化较小。
2023, 32(6):1224-1236. DOI: 10.12024/jsou.20221204046
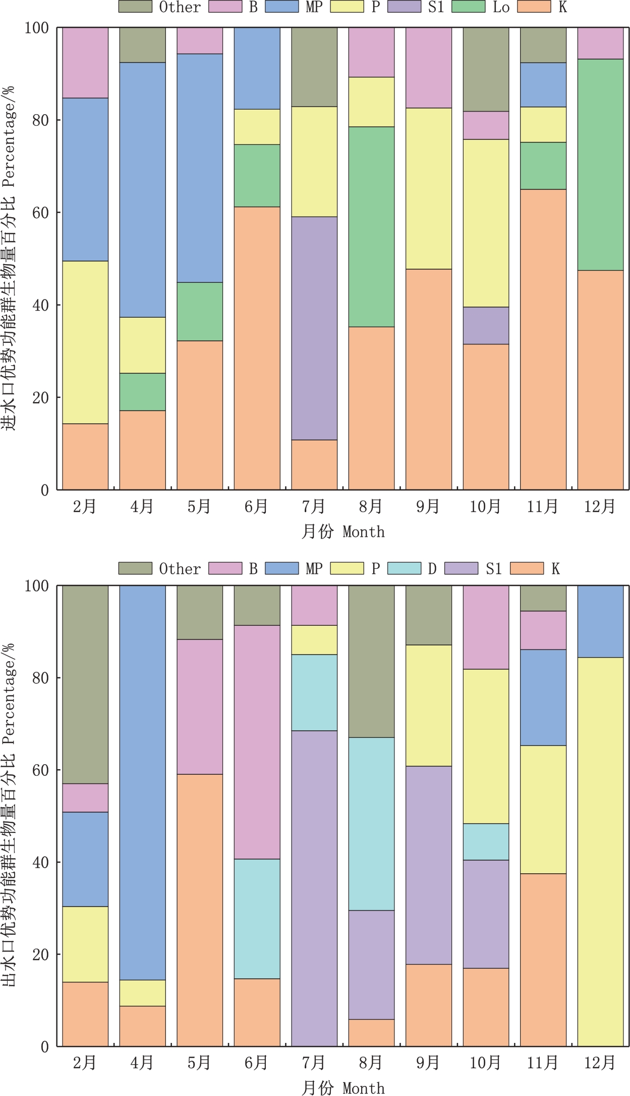
摘要:为探究上海青草沙水库浮游植物功能群的时空变化特征及其与环境因子的关系,以及进、出水口与库区浮游植物群落特征异同的原因,于2021年每月对浮游植物进行调查,运用浮游植物功能类群(Functional groups,FG)方法和冗余分析(Redundancy analysis,RDA)对数据进行分析。结果显示,调查期间青草沙水库共鉴定出浮游植物7门143种,主要由蓝、绿、硅藻门种类构成,浮游植物年均生物量为(0.64±0.35) mg/L。水库浮游植物共划分出25个功能类群,其中K、Lo、H1、S1、B、D、P、MP、F、G为优势功能群,主要隶属于蓝藻门和硅藻门。进、出水口浮游植物种类分别有3门40种,5门48种,分属于15组、19组功能群,共有优势功能群为7组,分别为K、Lo、S1、P、MP、B和F功能群;进水口年均生物密度和生物量分别为118.17×104 cell/L和0.16 mg/L,与进水口相比,出水口年均生物密度和生物量分别上升了34.85%和50.12%,且进、出水口生物量间呈显著性差异。对青草沙水库3个库区浮游植物优势功能群的生物量进行单因素方差分析(ANOVA),结果表明:库首、库中和库尾浮游植物优势功能群生物量无显著差异,且3个库区物种相似度为中等相似。冗余分析(RDA)表明,水温、氨氮和溶氧是影响青草沙水库浮游植物优势功能群变化的主要环境因子。本研究对青草沙水库浮游植物功能群的划分及演替进行了分析,对比进出水口浮游植物功能群的差异,为该水库的水资源保护提供理论依据。
2023, 32(6):1237-1244. DOI: 10.12024/jsou.20230404145
摘要:2022年11月及2023年2月在鄱阳湖松门山南部砂坑水域开展了大规模长江江豚应急救护行动,本文利用救护期间获得的体检数据及后续在该水域实施的长江江豚声学考察成果,首次描述了该水域长江江豚的群体结构和生长状况。该水域长江江豚群体雌雄比约为0.58,妊娠率约为27.8%;平均体长(135.01±16.95) cm,平均体质量(42.37±14.71) kg,平均最大体围(88.32±9.32) cm,平均体质指数(22.83 ±4.72) kg/m2,平均体围指数65.88%±5.86%,平均腋下脂肪层厚度(2.51 ±0.55) cm,平均肛围脂肪厚度(2.47±0.31) cm,平均最大体围脂肪层厚度(2.08±0.34) cm;群体结构中年轻个体占比较大,雄性占比较多,种群呈现增长型;该水域内长江江豚种群密度大于2头/km2,种群数量约39~111头。整体上看,该水域内长江江豚种群健康状态良好,有很好的繁殖潜力,对该水域及水域内长江江豚种群的关注及保护应加强。
2023, 32(6):1245-1254. DOI: 10.12024/jsou.20230204097
摘要:头足类是海洋生态系统的重要组成部分,也是目前世界上最具开发潜力的渔业资源之一,对该资源进行科学评估是实现其可持续利用的关键。不同于传统的鱼类种群,头足类具有生命周期短、生长速度快、种群结构复杂等生物学特点,且其资源量极易受到海洋环境波动的影响,使得头足类种群动力学和资源评估研究与传统鱼类资源相比面临着更多困难和挑战。本文总结了头足类的生活史特征及其资源与海洋环境因子的关系对资源评估的影响,并梳理了主要评估模型对头足类资源评估的适用性。分析认为,当前经过改进的衰减模型和剩余产量模型应用最为广泛,但仍无法制定出具有时效性的渔业管理措施。为此,文章从提高输入参数的准确度和可靠性、开展长期系统的资源环境调查和开发新的评估模型等方面提出了优化头足类资源评估研究的建议。
2023, 32(6):1255-1268. DOI: 10.12024/jsou.20230204095
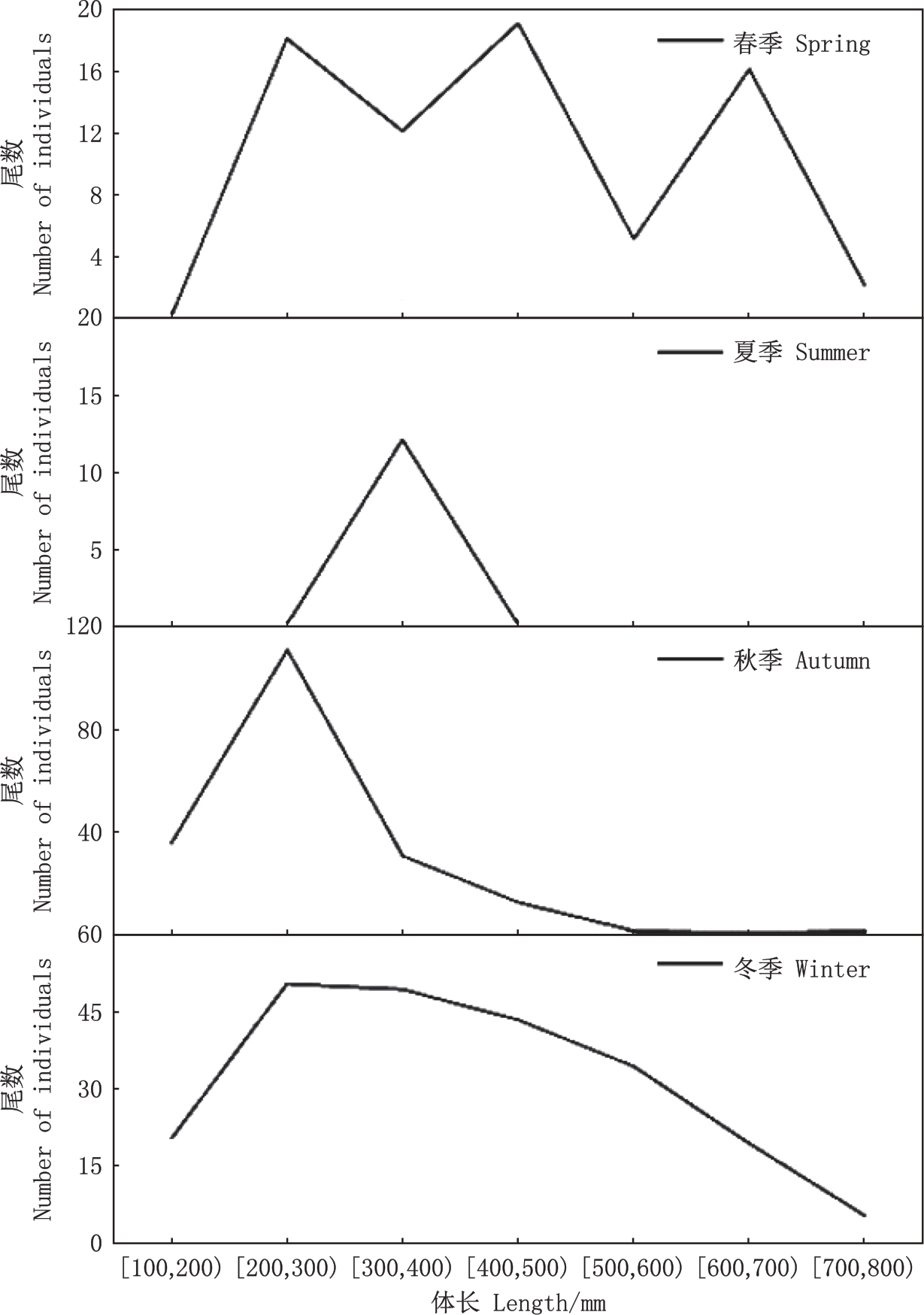
摘要:根据2017—2021年在黄海海域捕获的大头鳕(Gadus macrocephalus)样品,进行体长、体质量等生物学测量和胃含物鉴定,并用分类树方法对489个胃含物数据进行分析,探究其食性随季节及体长的变化特性。结果显示:从相对重要性指数百分比来看,2017—2021年大头鳕饵料中脊腹褐虾(Crangon affinis)及鳀(Engraulis japonicus)相对较高,其次为方氏云鳚(Enedrias fangi)、日本鼓虾(Alpheus japonicus)、虾虎鱼等;食性随季节变化较大,夏秋季节主要捕食脊腹褐虾和鳀,而春冬季食性相对广泛、香农-威纳指数比较高,捕食饵料种类相对较多,这可能与春冬季节大多数渔业种类在黄海越冬场越冬有关;大头鳕食性随体长增长发生变化,幼鱼主要捕食甲壳类动物,成鱼转变到摄食虾虎鱼、方氏云鳚等鱼类,这主要与大头鳕随自身生长,口裂不断变大,游泳能力变强,自身生长所需要的营养物质增多有关;胃含物中发现了其他大头鳕个体,表明其存在同类相食现象。此外与之前研究相比,大头鳕饵料丰富度逐渐下降,太平洋磷虾(Euphausia pacifica)、小黄鱼(Larimichthys polyactis)在胃中几乎没有出现,鳀的重要性也逐渐降低,而虾虎鱼重要性升高。大头鳕作为黄海海域的机会主义摄食者,其食性随季节、体长的变动情况可为未来研究黄海生态系统食物网结构变化提供重要科学依据。
2023, 32(6):1269-1276. DOI: 10.12024/jsou.20230204093
摘要:近年来,人民生活幸福指数成为政府工作报告中的关键词,关注“生活幸福指数”既是“以人为本”科学发展观的体现,也是经济与社会和谐发展的内在要求。本研究采用问卷走访的方式,以江苏省泰州市靖江区、无锡市江阴县、常州武进区、无锡宜兴市、苏州吴中区、苏州吴江区等6区县的150名退捕渔民为研究对象,分析当地退捕渔民生活幸福感现状及其影响因素,通过建立广义加性模型(Generalized additive model, GAM)以及生活幸福指数量表分析影响退捕渔民生活幸福感的影响因子。研究发现健康的身体状况、稳定的生活模式、不断增加的家庭支出、良好的居住环境、更高的受教育程度是使渔民对生活感到满意的主要因素,不健康的身体状况、不稳定的生活模式、拥有一定积蓄后缺乏长远金钱规划意识和合理掌控消费支出的能力、两个以上独立生活子女数量是导致渔民对生活感到不满意的主要因素。政府可通过适当放宽安置房条件、新增就业、开展精神文明建设、常见疾病预防知识培训、新建公共活动设施等措施提升退捕渔民生活幸福感指数。
2023, 32(6):1277-1286. DOI: 10.12024/jsou.20221004002
摘要:南太平洋区域性渔业管理组织(South Pacific Regional Fisheries Management Organisation,SPRFMO)在管理南太平洋渔业资源以及保护海洋生态系统方面发挥着重要作用。相较于其他区域性渔业管理组织(Regional Fisheries Management Organizations,RFMOs),SPRFMO在管理理念和管理措施等方面独具特色。作为SPRFMO成员,中国在开展渔业资源开发与养护时遵守既定措施,不断提高履约意识和履约能力,但是在积极参与规则制定方面还有待进一步提高。本文探讨中国如何以现有履约实践为基础,结合SPRFMO管理特点,发挥在鱿鱼生产和科研方面的优势,进一步深度参与SPRFMO议事规则和养护管理措施制定,更大地促进南太平洋渔业资源养护和渔业可持续发展,在维护我国渔业权益的同时,贡献渔业治理的中国方案。
您是本站第 访问者
通信地址:上海市浦东新区沪城环路999号
邮编:201306 传真:021-61900229
电话:021-61900229 E-mail:xuebao@shou.edu.cn
技术支持:北京勤云科技发展有限公司
上海海洋大学学报 ® 2026 网站版权所有 ICP:京ICP备09084417号-36
