2025, 34(3):467-475. DOI: 10.12024/jsou.20240704588
摘要:为探究 dnmt3a 基因在半滑舌鳎(Cynoglossus semilaevis)性逆转过程中的调控作用,开发适用于半滑舌鳎的 DNA 甲基化编辑系统,克隆了半滑舌鳎 dnmt3a 基因的 CDS 区序列,并通过生物信息学分析其结构域特点以及进化过程中的保守性,利用 qPCR 分析了其在半滑舌鳎不同性别中的表达模式,探究了 DNA 甲基化酶抑制剂 5-Aza-dC 处理对 dnmt3a 基因表达的影响。结果表明,dnmt3a 基因全长 3 063 bp,编码 1 020 个氨基酸,包括3个核心结构域(PWWP 结构域、ADDz 结构域和 AdoMet_MTases 超家族),dnmt3a 基因结合结构域(PWWP 结构域、ADDz 结构域)相对保守,催化活性结构域(AdoMet_MTases 超家族)与哺乳动物和爬行动物有较大差异。基因表达模式分析表明,雌性半滑舌鳎性腺组织 dnmt3a 基因表达量显著高于雄性和伪雄性。5-Aza-dC 处理后, dnmt3a 基因表达显著升高。研究表明:dnmt3a 基因在 DNA 甲基化调控半滑舌鳎性别决定与分化过程中发挥重要作用,为阐明半滑舌鳎性逆转机制和实现半滑舌鳎单基因靶向DNA 甲基化编辑提供参考。
2025, 34(3):476-485. DOI: 10.12024/jsou.20210703508
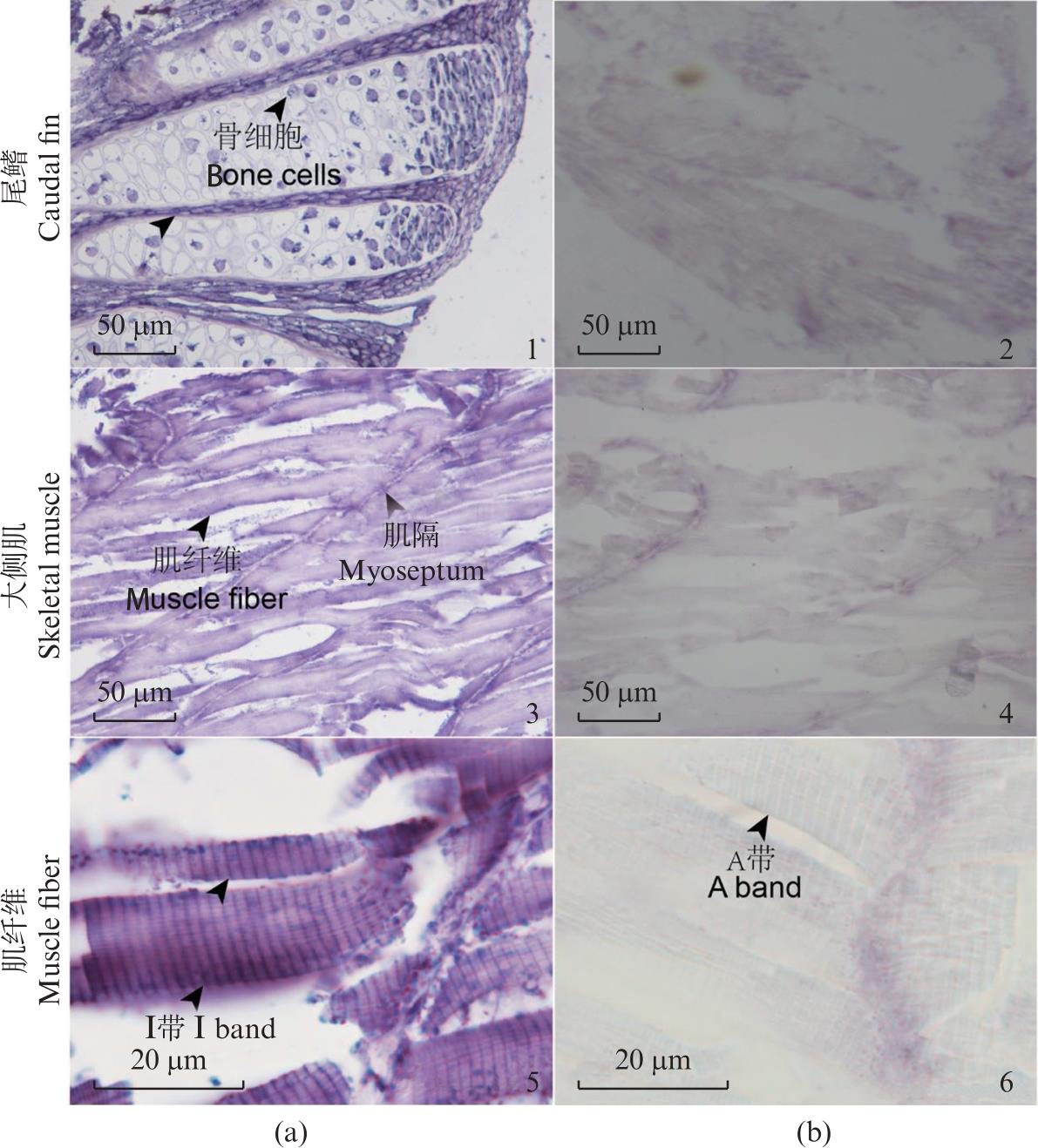
摘要:鱼类骨骼肌中富含大量线粒体,尤其在红肌中线粒体含量很高。线粒体对维持鱼类骨骼肌的收缩具有重要作用。Tafazzin(taz)基因作为合成线粒体特异性磷脂心磷脂的重要基因,对线粒体ATP的产生有关键作用。通过对斑马鱼的肌肉组织进行taz基因切片原位杂交,结果显示:taz基因在斑马鱼骨骼肌中大量表达,且特异性表达在肌原纤维的I带中。通过CRISPR/Cas9技术在构建斑马鱼taz缺失突变体taz-/-过程中发现taz缺失后,斑马鱼生长发育缓慢,突变体的体长、体质量、体宽、体高均显著小于野生型斑马鱼(P<0.05)。受精后48 h胚胎的肌动蛋白荧光染色结果显示,taz突变体肌纤维排列变疏松,肌动蛋白长度显著变长(P<0.05)。整体骨骼染色结果显示,taz突变后肌间骨的生长受到抑制。以上结果表明,在斑马鱼中,taz基因影响斑马鱼生长、骨骼肌的收缩及肌间骨的发育。
熊静怡,张敏,杨宗霖,陈晓武,姜晓东,成永旭,赵金山,吴旭干
2025, 34(3):486-498. DOI: 10.12024/jsou.20240404521
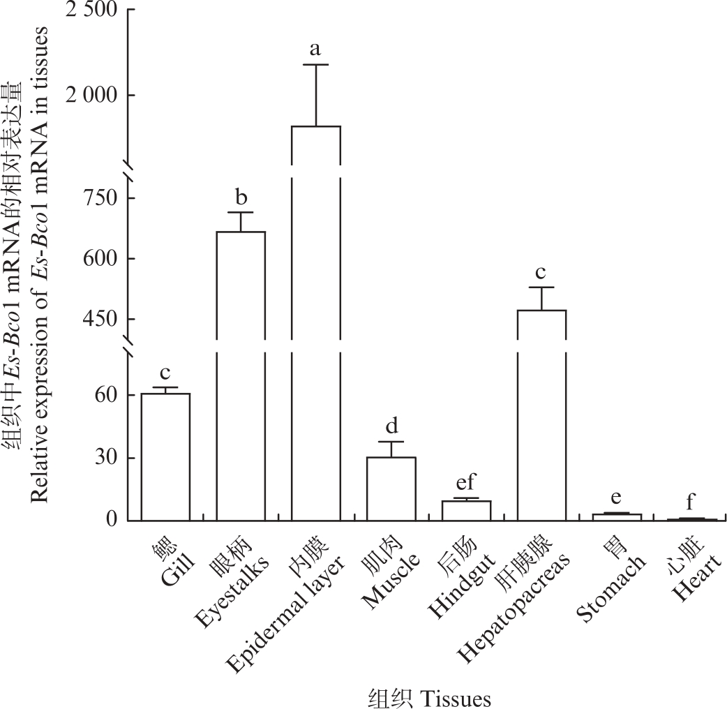
摘要:结合生物信息学、实时荧光定量PCR、原位杂交及HPLC技术研究了中华绒螯蟹(Eriocheir sinensis)Bco1基因的序列特征、时空表达模式和亚细胞定位,并探讨了高pH慢性胁迫下肝胰腺的Es-Bco1表达量、色泽及类胡萝卜素含量的变化。结果表明:(1)Es-Bco1开放阅读框(Open reading frame,ORF)全长1 614 bp,编码537个氨基酸,属于RPE65超家族,并与三疣梭子蟹(Portunus trituberculatus)BCO1高度相似;(2)Es-Bco1在多个组织中均有表达,高表达于内膜、眼柄和肝胰腺;蜕壳周期中蜕壳后期(AB期)肝胰腺Es-Bco1表达量最高;卵巢发育阶段Ⅰ~Ⅲ期的肝胰腺Es-Bco1表达量显著上升,此后显著下降;(3)原位杂交结果显示,在蜕壳AB期和卵巢发育Ⅲ期,Es-Bco1 mRNA主要定位于肝胰腺的F细胞(纤维细胞)和R细胞(吸收细胞)中;(4)幼蟹在pH 8.0(对照)、9.0和10.0条件下胁迫30 d后,肝胰腺中的Es-Bco1表达水平显著上调,其肝胰腺亮度值(L*)、黄度值(b*)、总类胡萝卜素及β-胡萝卜素含量显著下降。综上,中华绒螯蟹Bco1主要在内膜、眼柄和肝胰腺中表达,且在蜕壳后期和卵巢Ⅲ期肝胰腺中高表达。此外,高pH胁迫可导致肝胰腺中Es-Bco1上调,降低类胡萝卜素含量,表明Bco1在中华绒螯蟹响应高pH胁迫过程中类胡萝卜素裂解起着重要作用。
2025, 34(3):499-509. DOI: 10.12024/jsou.20240704607
摘要:为了研究不同季节菲律宾蛤仔(Ruditapes philippinarum)表型性状与干出肉率之间的相关性,采集了象山港春季群体270个、夏季群体141个、秋季群体55个,分别测量了壳长(X1)、壳高(X2)、壳宽(X3)、后缘长(X4)、前缘长(X5)、活体质量(X6)、软体质量(X7)和壳质量(X8),对软体部脱水后得到干肉质量(X9)。计算了壳长/壳高(X10)、壳长/壳宽(X11)、壳高/壳宽(X12)、前缘长/后缘长(X13)及干出肉率(Y)。通过相关性分析、通径分析、决定系数分析和回归分析,确定了影响蛤仔出肉率的主要性状,建立了出肉率与表型性状的回归方程。结果显示,秋季群体蛤仔的软体质量变异系数最高,形态性状的变异系数相对较低。夏季群体与干出肉率呈显著相关的表型性状最多。通径分析显示壳长、壳高和壳宽是影响干出肉率的重要因素,其中壳宽对菲律宾蛤仔的出肉率影响尤为明显,秋季和春季时壳宽对干出肉率有显著正向影响,夏季时壳高与壳宽的比值对干出肉率有显著负向影响。春季群体干出肉率回归方程:Y=-9.765+0.888X1-1.470X6-0.379X4+0.609X3,R2=0.157;夏季群体干出肉率回归方程:Y=5.89+0.884X2-5.473X12-0.413X5,R2=0.474;秋季群体干出肉率回归方程:Y=35.286-11.076X11,R2=0.161。本研究可为菲律宾蛤仔出肉率选育提供理论参考。
2025, 34(3):510-518. DOI: 10.12024/jsou.20240704593
摘要:为探明克氏原螯虾(Procambarus clarkii)防控稻田杂草的可能性途径,本研究在实验室条件下,以人工饲料为对照组,评估了克氏原螯虾对稻田5种常见杂草种子(稗.Ec; 千金子. Lc; 鳢肠.Ep; 丁香蓼. Lp; 水苋菜. Ab)的摄食能力及机体抗氧化性能和肠道菌群响应。结果显示, 克氏原螯虾对千金子、水苋菜、丁香蓼、稗和鳢肠种子摄食量和摄食率均存在显著性差异(P<0.05),平均日摄食量分别为0.033、0.027、0.059、0.047和0.031 g/只,其中,克氏原螯虾对丁香蓼种子摄食量显著高于千金子、水苋菜和鳢肠(P<0.05), 对稗种子的摄食量显著高于水苋菜种子(P<0.05),对杂草种子的平均日摄食量显著低于对照组(0.1 g/只)。各处理组克氏原螯虾肝脏GSH-Px酶活性无显著性差异(P>0.05), 稗组MDA含量显著高于其他处理组(P<0.05), 其他处理组间无显著性差异(P>0.05); 水苋菜组SOD 酶活性显著高于千金子组、鳢肠组和对照组(P<0.05), CAT酶活性显著高于鳢肠组(P<0.05); 丁香蓼组SOD酶活性显著高于千金子组和对照组(P<0.05)。不同处理组克氏原螯虾肠道细菌群落α多样性指数均无显著性差异,其肠道优势菌门主要是变形菌门(Proteobacteria)、软壁菌门(Tenericutes)、放线菌门(Actinobacteria)和厚壁菌门(Firmicutes),这4类细菌的相对丰度在各处理组间占比均达到了99%以上,其中丁香蓼和稗组放线菌门相对丰度分别为9.72%和5.74%,显著高于其他处理组; 肠道优势菌属分别是不动杆菌属(Acinetobacter),柠檬酸菌属(Citrobacter),气单胞菌属(Aeromonas),红细菌属(Rhodobacter),希瓦氏菌属(Shewanella),棒形杆菌属(Clavibacter),假单胞菌属(Pseudomonas),乳酸杆菌属(Lactobacillus),节杆菌属(Arthrobacter)。综上所述, 克氏原螯虾可直接摄食稻田常见杂草种子,倾向于摄食丁香蓼和稗种子,但过量摄食稗种子易导致机体过氧化损伤,其次是鳢肠种子,对水苋菜和千金子种子摄食量较少。克氏原螯虾肠道微生物菌群具有较强的环境适应性,能够处理多种复杂的植物性物质。
2025, 34(3):519-529. DOI: 10.12024/jsou.20240404473
摘要:与中国南方紫菜栽培物种坛紫菜(Pyropia haitanensis)相比,圆紫菜(Pyropia suborbiculata)具有更强的耐高温性,但其圆形藻体不适合生产栽培。为此研究者采用人工诱变技术,从圆紫菜野生型品系中分离出了数个长型突变体。本研究在此基础上,采用60Co-γ射线辐照圆紫菜长型突变体CCT-2的叶状体,以生长速度为主要选育指标,从其后代中筛选出了1个快速生长的新品系PS-M1。在23 ℃下培养60 d的叶状体,PS-M1的平均体长和长宽比分别为68.1 cm和26.3,分别是CCT-2的2.7和2.4倍。在23 ℃下培养30 d的叶状体再在30 ℃下培养30 d,PS-M1和CCT-2的体长分别增加了6.4和3.0倍。在30 ℃下培养14 d,PS-M1和CCT-2的壳孢子存活率分别为47.4%和42.2%,两者之间无显著性差异。在23 ℃下培养45 d的叶状体,PS-M1的叶绿素a和总藻胆蛋白含量分别为6.5和64.9 mg/g,分别比CCT-2增加了20.4%和22.9%;PS-M1的平均厚度为33.6 μm,比CCT-2薄了15.8%。连续10 d的壳孢子放散总量,PS-M1高达223.3万个/贝壳,是CCT-2的4.8倍。综上所述,相比圆紫菜长型突变体CCT-2,新品系PS-M1的叶状体生长速度更快,且在叶状体耐高温性和色素蛋白含量,以及壳孢子放散量等方面也表现出明显优势,有望被应用于中国南方沿海生产栽培。
2025, 34(3):530-540. DOI: 10.12024/jsou.20240504534
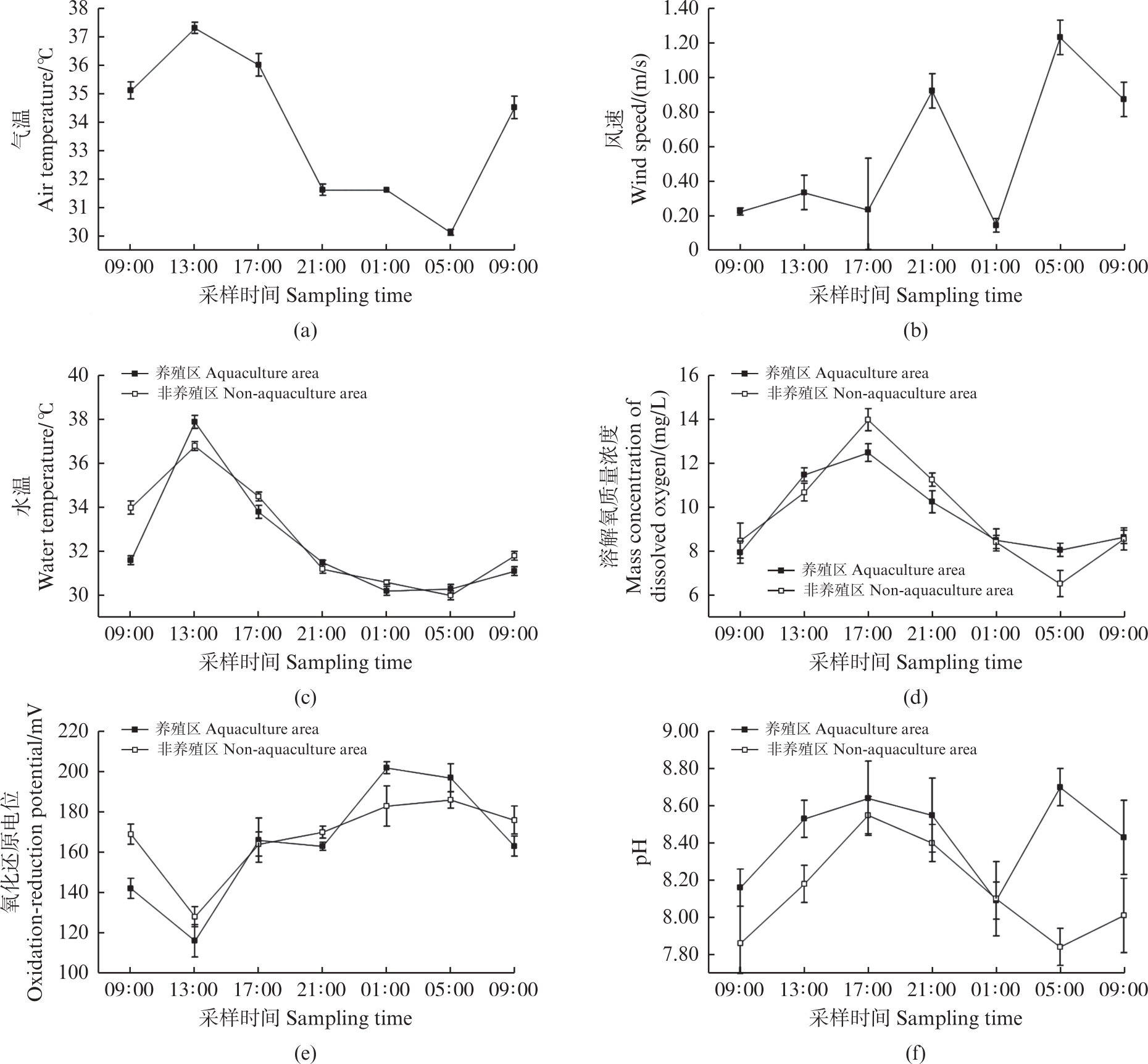
摘要:为比较湖面中华绒螯蟹(Eriocheir sinensis)养殖区与非养殖区水-气界面CO2通量之间的差异以及影响CO2通量的因素,选择于2023年8月4日至8月5日使用PS-9000便携式碳通量自动测量系统在骆马湖中华绒螯蟹养殖区与非养殖区水-气界面进行CO2通量测定,同时对气象因子及水质指标进行同步测定。结果显示,养殖区CO2通量平均值为0.012 μmol/(m2·s),表现为CO2的排放源,非养殖区CO2通量平均值为-0.006 μmol/(m2·s),表现为CO2的吸收汇,但养殖区和非养殖区均表现出白天为CO2的排放源,夜晚为CO2的吸收汇。通过多元逐步回归分析可知,影响养殖区和非养殖区CO2通量的主要环境因子有所区别,前者的影响因子主要为气温和pH,后者的影响因子主要为总磷、硝态氮和总有机碳。研究结果揭示了中华绒螯蟹湖面养殖区与非养殖区水-气界面CO2通量特征及影响因素,为深入了解湖区不同水产养殖功能区CO2通量特征提供参考。
2025, 34(3):541-549. DOI: 10.12024/jsou.20240604584
摘要:为探究稻虾种养对土壤有机碳稳定性和酶活性的影响, 于2021和2022年以“深两优3117”水稻(Oryza sativa)和克氏原螯虾(Procambarus clarkii)为材料,开展了稻虾轮作模式与水稻单作模式的对比试验, 分析了土壤有机碳组成、活性有机碳组分和碳氮磷转化相关酶活性。结果显示,相较于水稻单作模式,试验期间稻虾种养模式土壤LOC Ⅰ含量提高25.86%~39.13%,土壤MBC含量提高96.54%~105.73%,土壤POC含量提高92.24%~132.32%(P<0.05)。土壤β-XYS活性降低29.35%~59.74%,ACP活性降低41.64%~59.12%(P<0.05),而NAG活性较水稻单作模式升高29.04%~98.86%(P<0.05)。Pearson分析显示,土壤LOC Ⅰ 、ROC、MBC和POC与pH、TN和TOC呈显著正相关(P<0.05),DOC和C/N与pH和TN呈负相关(P<0.05)。稻虾种养模式通过增加土壤pH和TN含量,降低β-XYS和ACP活性,提高土壤NAG活性,增加了土壤活性有机碳组分含量。
2025, 34(3):550-561. DOI: 10.12024/jsou.20240504557
摘要:为探究不同温度(20、25和30 ℃)和不同饵料(虾片、沼虾商品饲料和蛋白核小球藻)对锯齿新米虾(Neocaridina denticulata)生长繁殖的影响,以实验室孵化后7 d的锯齿新米虾仔虾为对象进行为期91 d的养殖试验。结果表明,锯齿新米虾的存活率随温度的升高而降低,20 ℃组的存活率(93.33%±7.20%)显著高于30 ℃组(P<0.05);温度对锯齿新米虾体长、体质量及特定生长率无显著性影响(P>0.05);随着温度升高锯齿新米虾发育显著加快,30、25和20 ℃下初次抱卵时间分别为(39.25±3.20)、(55.00±1.00)和(162.33±1.53) d;但20 ℃锯齿新米虾初次抱卵时的体长、体质量及抱卵量均显著高于25和30 ℃(P<0.05),25与30 ℃组之间无显著性差异(P>0.05);3种温度下锯齿新米虾的相对繁殖力无显著性差异(P>0.05)。胚胎孵化时间随温度的升高显著缩短;锯齿新米虾性腺发育的生物学零度为16.57 ℃,有效积温为507.54(℃·d);胚胎发育的生物学零度为6.69 ℃,有效积温为279.98(℃·d)。投喂蛋白核小球藻组锯齿新米虾的生长速度和存活率显著低于投喂其他饵料组(P<0.05),投喂沼虾商品饲料可以显著提高锯齿新米虾的初次抱卵体长、体质量、抱卵量及相对繁殖力(P<0.05)。综上所述,人工养殖锯齿新米虾的适宜温度为25 ℃左右,沼虾商品饲料是锯齿新米虾的适宜饵料。
2025, 34(3):562-574. DOI: 10.12024/jsou.20240504537
摘要:中华绒螯蟹(Eriocheir sinensis)单性化养殖是一种具有推广潜力的养殖方式,基于雌雄营养需求配制雌雄专用饲料是实现精准投喂的重要前提。为了研究雌雄专用育肥饲料对雌、雄中华绒螯蟹亚成体养殖性能、生理代谢和生化组成的影响,采用2×2因子实验设计(2种饲料×2种性别),在室外池塘围隔中开展了为期80 d的养殖实验,实验包括雄蟹投喂雄体专用饲料组、雄蟹投喂雌体专用饲料组、雌蟹投喂雌体专用饲料组和雌蟹投喂雄体专用饲料组(分别记为MM、MF、FF和FM),每组各设置4个重复围隔。结果显示:饲料对雌雄蟹的生长、成活率、产量及饲料系数均无显著差异(P>0.05),而雌雄蟹性别之间生长、产量和饲料系数存在显著差异(P<0.05); FF组肝胰腺指数(HSI)和性腺指数(GSI)高于FM组,且在80 d时GSI差异显著(P<0.05);除FF组肝胰腺中的总脂含量显著高于FM组外(P<0.05),两种饲料对可食组织中的常规生化成分含量均无显著差异(P>0.05); 就抗氧化和免疫指标而言,MM组肝胰腺中谷胱甘肽过氧化物酶(GSH-Px)活性显著高于其他各组(P<0.05),而FF组肝胰腺中的总超氧化物歧化酶(T-SOD)活性最高;饲料和性别因素对血淋巴中酸性磷酸酶(ACP)活性均具有显著影响;就蛋白质和脂质代谢指标而言,MM组肝胰腺胰蛋白酶活性最高,脂肪酶活性最低;FF组肝胰腺中甘油三酯(TG)、血淋巴中总蛋白(TP)、TG、总胆固醇(TC)、低密度脂蛋白胆固醇(LDL-C)和高密度脂蛋白胆固醇(HDL-C)含量均最高。研究表明,雄蟹投喂雄体专用饲料可以提高抗氧化和免疫性能,促进蛋白质沉积;雌蟹投喂雌体专用饲料可以增加肝胰腺中的TG沉积,加速卵巢发育速度。综上,雌雄专用育肥饲料可提高河蟹雌雄分养条件下的育肥养殖效果,促进中华绒螯蟹雌雄单性化养殖技术的推广应用。
2025, 34(3):575-589. DOI: 10.12024/jsou.20240404487
摘要:为评价脆化养殖对罗非鱼(Oreochromis niloticus)生长、血清生化指标及肠道健康的影响,分别用蚕豆、脆化饲料(约含50%蚕豆)和普通饲料饲喂罗非鱼[体质量为(665±34)g],检测饲喂40和80 d后的罗非鱼生长、血清生化、肠道组织形态、紧密连接蛋白、消化酶、抗氧化酶、炎性基因以及肠道菌群指标。结果表明:与普通饲料组相比,蚕豆组和脆化饲料组罗非鱼体质量、体长和增重率显著降低。蚕豆组血清溶菌酶(LYZ)显著增加,血清碱性磷酸酶(AKP)无显著差异,80 d血清谷草转氨酶(AST)和谷丙转氨酶(ALT)升高,脆化饲料组血清ALT、AST和AKP无显著差异,LYZ显著升高。蚕豆组和脆化饲料组肠绒毛长度均缩短。蚕豆组紧密连接蛋白基因Occludin、ZO-3和Claudin-3 表达显著下降,Claudin-12表达显著上升,脆化饲料组上述基因表达无显著差异。蚕豆组α-淀粉酶和脂肪酶活性减小,脆化饲料组仅40 d脂肪酶活性减小。蚕豆组丙二醛(MDA)含量显著增加,80 d总抗氧化能力(T-AOC)显著增加,脆化饲料组MDA含量无显著差异,T-AOC显著下降。蚕豆组和脆化饲料组促炎基因IFN-γ、TNF-α和抗炎基因IgM表达水平显著增加,蚕豆组抗炎基因TGF-β1和IL-10表达水平显著下降,脆化饲料组TGF-β1和IL-10显著增加。脆化饲料组肠道微生物ACE、Chao1、Simpson和Shannon指数和对照组接近且高于蚕豆组,脆化饲料组毛螺菌属、乳酪杆菌丰度下降,分枝杆菌、多种梭菌丰度增加,蚕豆组厚壁菌门、梭杆菌门和鲸蜡杆菌属丰度下降,变形菌门、分枝杆菌等丰度增加。与饲喂40 d相比,饲喂80 d时脆化饲料组中大部分指标无显著变化。用蚕豆或脆化饲料养殖罗非鱼均会抑制其生长和肠道抗氧化能力,使肠绒毛变短,引起肠道炎症反应,使肠道有益菌丰度下降、潜在致病菌丰度增加,但脆化饲料对罗非鱼的不利影响弱于蚕豆,主要表现为脆化饲料对肠道消化酶活性、细胞膜通透性和抗炎系统无显著影响,蚕豆对上述指标均有显著负面影响。
高胡君,赵绳富,杨丹,侯梦丹,肖川波,柯真林,翟旭亮,薛洋,徐凤,唐仁军,叶华,罗辉
2025, 34(3):590-603. DOI: 10.12024/jsou.20241004654
摘要:为探究稻田、池塘和水库养殖鳙(Aristichys nobilis)肌肉营养品质及挥发性风味物质的差异,以3种不同养殖模式下的鳙为研究对象,分别命名为池塘鳙、稻田鳙和水库鳙,对其肌肉的常规营养成分、矿物质元素、脂肪酸、氨基酸以及挥发性风味物质进行了测定。结果显示,池塘鳙与稻田鳙的粗蛋白含量显著高于水库鳙(P<0.05);池塘鳙的粗脂肪含量显著高于稻田鳙和水库鳙(P<0.05)。铁、钠、硒元素在稻田鳙肌肉中含量显著高于池塘鳙及水库鳙(P<0.05)。池塘鳙的单不饱和脂肪酸含量较高(31.20%),而稻田鳙的饱和脂肪酸含量较高(46.05%),水库鳙则表现为多不饱和脂肪酸较高(29.83%),∑n-3/∑n-6多不饱和脂肪酸排名为稻田鳙>水库鳙>池塘鳙。在检出的18种氨基酸中,3种鳙肌肉中的氨基酸总量接近,必需氨基酸总量(EAA)占氨基酸总量的比例均在39%以上,均高于WHO/FAO模式标准(35.38%),3种鳙肌肉必需氨基酸指数(EAAI)均在86以上,稻田鳙的EAAI高于池塘鳙和水库鳙。在3种不同养殖模式的鳙肌肉中醛类挥发性物质含量为稻田鳙(1.69%)>池塘鳙(0.82%)>水库鳙(0.55%),且仅在稻田鳙中检测到了己醛,同时壬醛、葵醛的相对含量也最高,稻田鳙肌肉风味更佳。研究结果表明,3种养殖模式下的鳙肌肉营养组成丰富,富含人体所需的多种氨基酸与脂肪酸,均是优质的食物蛋白源。本研究阐明了3种不同养殖模式下鳙肌肉品质的差异,为消费者选购提供参考,也为鳙肌肉品质的改善提供基础数据。
2025, 34(3):604-617. DOI: 10.12024/jsou.20240304459
摘要:为了解大陈岛海域岩礁生境的鱼类群聚特征,2020年9月至2021年4月每个季度1次,采用多网目组合刺网对该海域的潮下带岩礁生境进行了鱼类样本采集,利用Jaccard相似性指数、相对重要性指数、α多样性指数、聚类和排序以及典型对应分析等多元统计方法对该生境鱼类群聚特征及其与环境因子的相互关系进行了研究。结果显示:在大陈岛潮下带岩礁生境共采集鱼类49种,隶属于10目27科40属,其中石首鱼科和鳀科的比例最高,分别为22.45%和10.20%。全年共出现优势种鱼类11种,褐菖鲉(Sebastiscus marmoratus)、鳞鳍叫姑鱼(Johnius distinctus)和丝背细鳞鲀(Stephanolepis cirrhifer)等鱼类优势度较高,其中褐菖鲉为全域全年优势种。多元统计结果表明:空间上不同类型站点之间均有不同程度的相异性,其中养殖区域及东部岩礁区形成了与其他区域差异显著的群聚特征(P<0.05);时间上亦呈现出明显的季节变化(P<0.05)。多样性表现上,夏季鱼类多样性最高,冬季最低。典型对应分析表明:盐度和温度是影响大陈岛岩礁生境鱼类群聚的最显著因子。在局地水平的研究发现养殖干扰区周边的岩礁生境呈现出更为稳定且多样的鱼类群聚格局,但总体上大陈岛潮下带岩礁的鱼类群聚组成简单、结构相对脆弱,亟需建立针对性的保护和管理措施。
康志鹏,刘永,李纯厚,赵金发,石娟,王腾,谢宏宇,肖雅元,黄海
2025, 34(3):618-635. DOI: 10.12024/jsou.20240404531
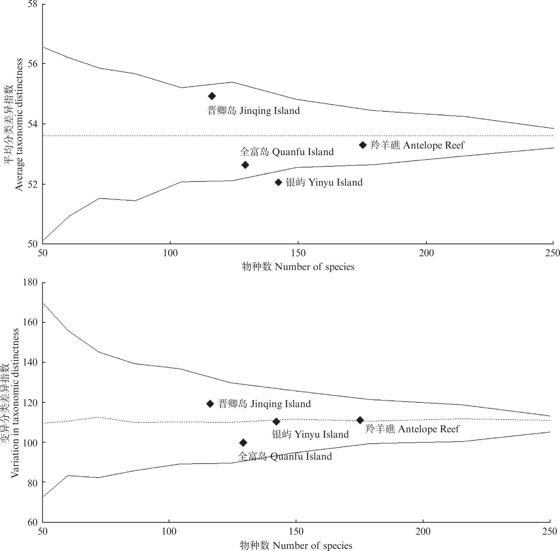
摘要:为探究西沙群岛永乐环礁4个岛礁(晋卿岛、羚羊礁、全富岛和银屿)的珊瑚礁鱼类种类特征,在2020至2023年期间,采用手钓、潜水捕捞和水下录像等方式对永乐四岛礁的珊瑚礁鱼类进行了调查。结合2020—2021年对银屿的调查研究资料,分析了永乐四岛礁珊瑚礁鱼类的种类组成、相似性和分类多样性等特征,并结合文献资料分析了永乐四岛礁珊瑚礁鱼类的食性、个体大小类型等特征。结果表明:(1)永乐四岛礁附近海域共发现260种珊瑚礁鱼类,隶属于2纲10目40科,其中鲈形目占绝对优势,隆头鱼科、雀鲷科和蝴蝶鱼科的种类数最多;(2)肉食性鱼类种类最为丰富,且以中小型鱼类为主,四岛礁大型鱼类的相似性系数显著低于中小型鱼类,说明四岛礁受到了不同程度的捕捞影响;(3)肉食性鱼类和大型鱼类在各岛礁所占比例均为晋卿岛>羚羊礁>全富岛>银屿,且平均分类差异指数(Δ+)为晋卿岛(54.94)>羚羊礁(53.30)>全富岛(52.63)>银屿(52.05),说明四岛礁珊瑚礁鱼类受到人类扰动的程度存在明显差异,受扰动程度表现为晋卿岛<羚羊礁<全富岛<银屿。研究对永乐四岛礁珊瑚礁鱼类组成的本底情况进行了解析,分析了人类扰动的影响,将为促进西沙群岛珊瑚礁鱼类资源的可持续发展提供理论依据,为珊瑚礁鱼类的保护与管理提供参考。
2025, 34(3):636-650. DOI: 10.12024/jsou.20240304463
摘要:为探究鲢(Hypophthalmichthys molitrix)和罗非鱼(Oreochromis niloticus)不同精细分割部位的冷藏品质变化规律,并筛选出易劣变部位,以鲢和罗非鱼为研究对象,将其精细分割为背脊肉、腹肋肉、腩部肉和尾部肉,在真空条件下4 ℃贮藏7 d,分析其贮藏前后的感官评价、生化指标和质构特性等指标。结果显示,贮藏7 d后,两种鱼各部位的感官评价都有不同程度的下降,且鲢腩部的气味劣变程度最大。0 d鲢背脊肉与尾部肉的挥发性气味轮廓相似,第7天两种鱼各部位间PCA分离度变大。在7 d贮藏期内,鲢不同部位的鱼肉亮度没有显著差异,只有罗非鱼背脊肉的亮度由36.29提高到42.57。鲢的汁液流失率、离心损失高于罗非鱼,且鲢的质构特性更易劣变。从新鲜度指标综合分析,鲢背脊肉、尾部肉和罗非鱼腩部肉和尾部肉的TVB-N、K值、TVC值均显著上升,且鲢腩部肉的POV从0.09 mmol/kg显著增加至0.16 mmol/kg。鲢腹肋肉、腩部肉和尾部肉总游离氨基酸显著上升(P<0.05)。总体而言,相比腹肋肉,鲢的背脊肉、腩部肉和尾部肉的感官和鲜度品质更易劣变,罗非鱼背脊肉的感官品质和质构品质劣变最快。
2025, 34(3):651-663. DOI: 10.12024/jsou.20240404492
摘要:采用振荡提取法(Oscillatory extraction, OE)、高速匀浆提取法(High-speed homogenization extraction, HHE)、超声提取法(Ultrasonic extraction, UE)和反复冻融提取法(Repeated freeze-thaw extraction, RFE)4种技术手段从钝顶螺旋藻(Spirulina platensis)中分离制备C-藻蓝蛋白,并系统分析其分子结构特征、理化性质、功能特性及抗氧化生物活性效能。研究表明,4种提取方法所得C-藻蓝蛋白纯度都达到了试剂级标准,其中反复冻融提取法和高速匀浆提取法提取得到的C-藻蓝蛋白具有较高的纯度,分别达到了2.68和2.37。红外光谱分析显示,反复冻融得到的C-藻蓝蛋白α-螺旋含量最高,说明其二级结构最稳定。C-藻蓝蛋白的功能特性研究表明,其溶解度、乳化能力、起泡能力、持水性、持油性、最低凝胶浓度和表面疏水性均表现为反复冻融提取法>高速匀浆提取法>超声提取法>振荡提取法(P<0.05)。由SDS-PAGE图谱可知,所有提取方法得到的C-藻蓝蛋白均包含α 和β 两个螺旋亚基。抗氧化实验结果显示,C-藻蓝蛋白具有较强的抗氧化特性,4种提取方式所得C-藻蓝蛋白清除DPPH和ABTS自由基能力表现为反复冻融提取法>高速匀浆提取法>超声提取法>振荡提取法。综上所述,反复冻融提取法得到的C-藻蓝蛋白纯度最高,二级结构最稳定,具有最佳的功能特性,包括溶解度、乳化能力、起泡能力、持水性、持油性、最低凝胶浓度和表面疏水性,同时具有较强的抗氧化性,这些研究结果为拓展C-藻蓝蛋白在食品、医药和化妆品等领域的应用提供理论支持和研究基础。
2025, 34(3):664-673. DOI: 10.12024/jsou.20240404514
摘要:为探究来源于海洋的重组海洋蔗糖磷酸化酶Suc75290催化合成α-熊果苷的条件及其分离纯化条件,实验采用蔗糖和对苯二酚为底物,海洋蔗糖磷酸化酶Suc75290为催化剂合成α-熊果苷,使用大孔吸附树脂HP20对反应液中α-熊果苷和对苯二酚进行分离纯化。结果显示,pH为7的MES-NaOH缓冲液、反应温度为40 ℃、最适对苯二酚浓度为38.5 g/L、蔗糖与对苯二酚摩尔比最佳为5∶1(蔗糖浓度为600 g/L)、最适加酶量为300 U/mL、最适反应时间为28 h等6个因素是海洋蔗糖磷酸化酶Suc75290催化合成α-熊果苷的最优条件,对苯二酚的转化率为96.70%,α-熊果苷含量为64.3 g/L(238.7 mmol/L);采用大孔树脂吸附法分离,以去离子水作为上样缓冲液,确定最佳分离条件:上样体积为10 mL,上样流速为0.5 mL/min,洗脱液为30%乙醇,洗脱流速1 mL/min,经过旋蒸处理后得到50 mg α-熊果苷,纯度为99.9%。综上,使用海洋蔗糖磷酸化酶Suc75290合成高浓度的α-熊果苷的条件优化及对α-熊果苷的分离纯化工艺研究为高纯度α-熊果苷的开发利用提供了应用基础。
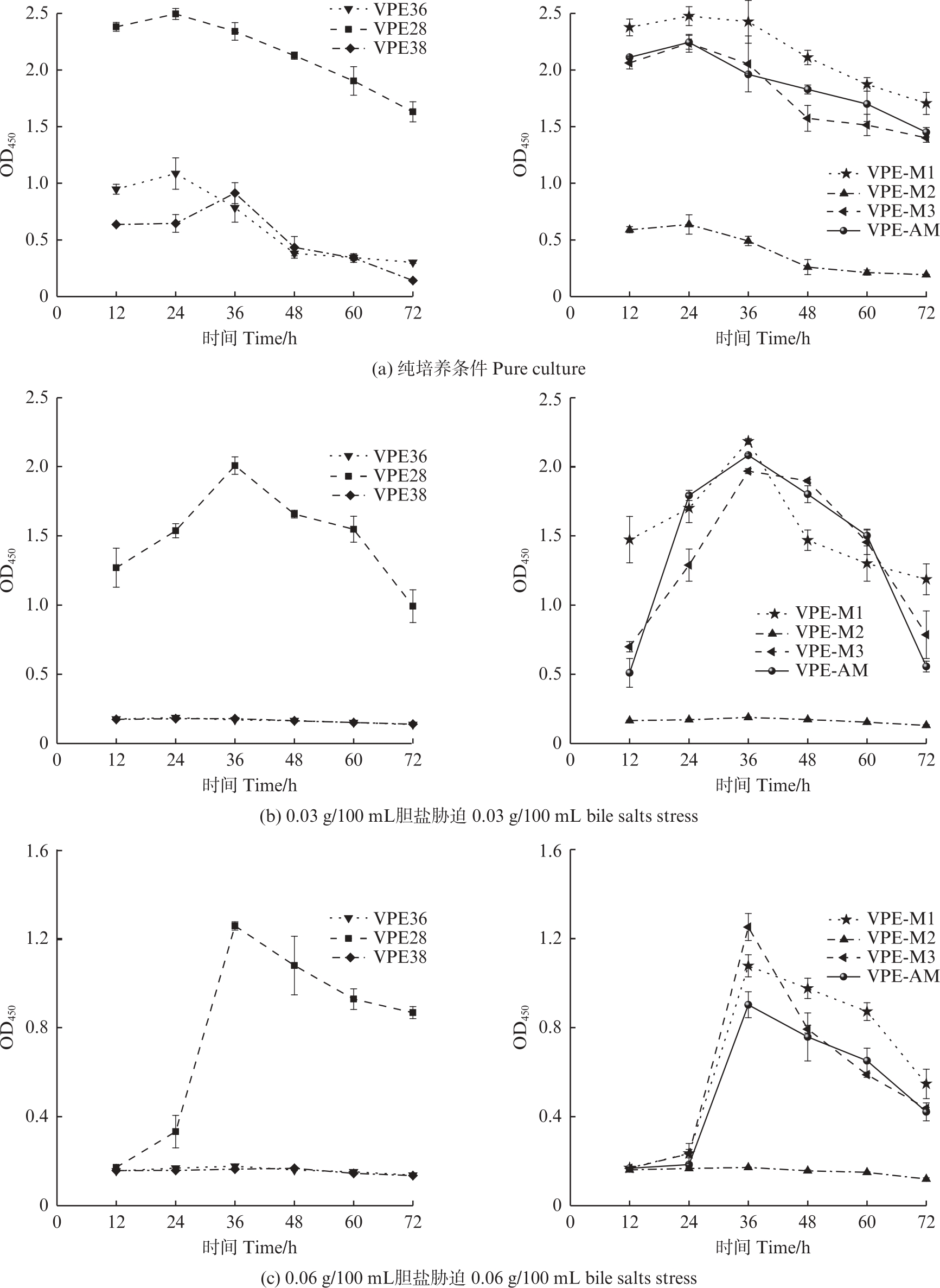
2025, 34(3):674-685. DOI: 10.12024/jsou.20240404493
摘要:为了解在纯培养条件及胆盐胁迫下来源于淡水产品的不同毒力基因型副溶血性弧菌(Vibrio parahaemolyticus)单个及混合菌株生物被膜的形成特征,通过结晶紫染色法和CCK-8法检测生物被膜的形成量和细胞活力,并借助共聚焦激光扫描显微镜(Confocal laser scanning microscopy,CLSM)对被膜结构进行可视化观察,最后通过二喹啉甲酸(Bicinchoninic acid,BCA)法及苯酚-硫酸法对胆盐处理前后的被膜胞外蛋白和胞外多糖含量进行定量分析。结果表明,胆盐处理抑制副溶血性弧菌生物被膜的形成,使被膜形成量和细胞活力显著下降,影响被膜系统的聚集程度和混乱程度,破坏被膜结构的同时影响胞外蛋白和胞外多糖的合成和分泌。含有tdh基因的菌株能够形成较多且较稳定的生物被膜,混合菌株在胆盐刺激下表现出更强的适应性,能够迅速做出响应以抵御这种胁迫,从而保证菌体更加稳定地存活。这一研究结果为副溶血性弧菌混合生物被膜的形成和控制提供了新的理论支持,对于探讨淡水产品中携带副溶血性弧菌对食品安全和人体健康造成的影响具有重要意义,为进一步研究其在人体肠道中的适应机制和防控提供了重要参考依据。
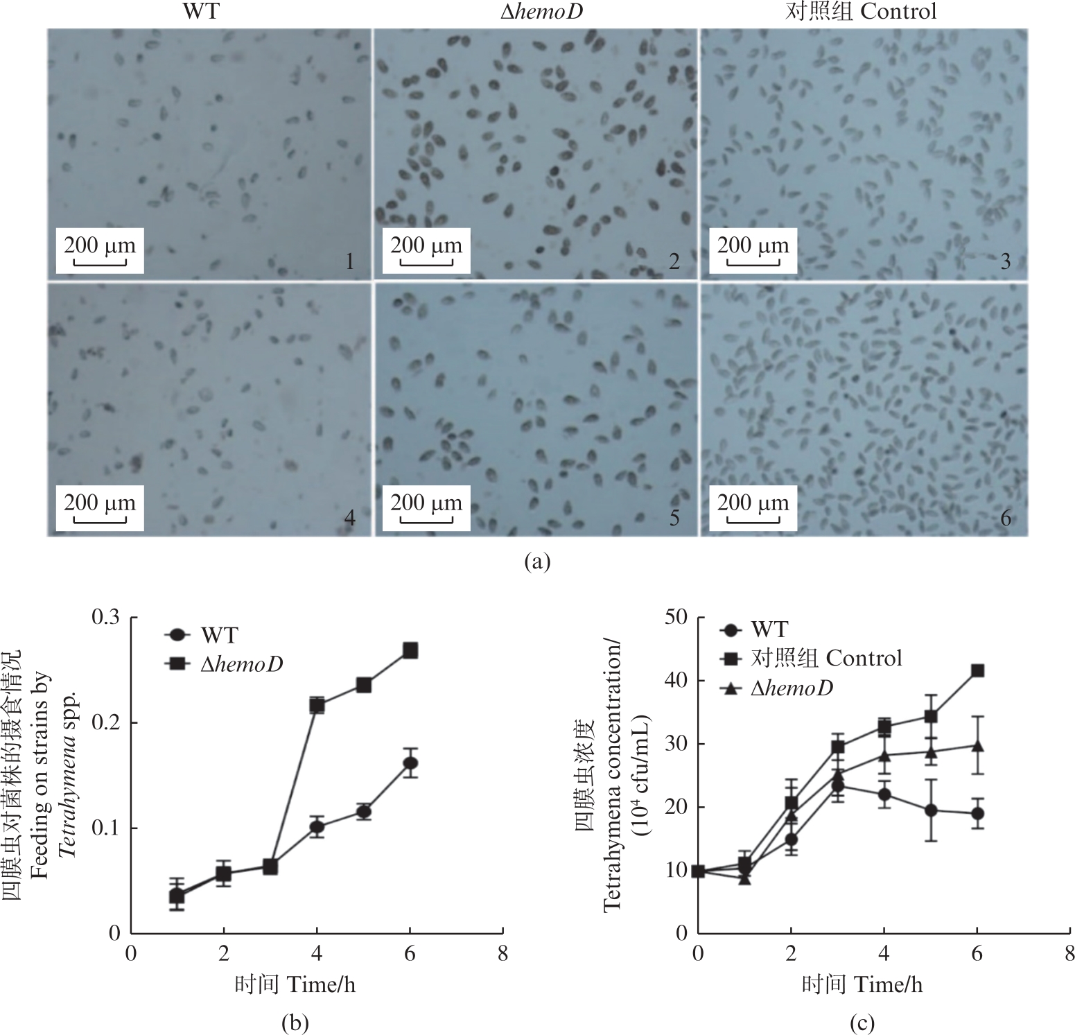
2025, 34(3):686-695. DOI: 10.12024/jsou.20240504562
摘要:通过同源重组技术,构建了hemoD基因缺失的副溶血弧菌敲除菌株ΔhemoD,对ΔhemoD菌株的毒力和感染四膜虫及凡纳滨对虾(Penaeus vannamei)的能力进行了评估。相比野生型菌株,ΔhemoD菌株溶血活性下降了45.7%,生物膜形成能力下降了36.2%,生长无明显变化。相比野生型菌株,ΔhemoD菌株对四膜虫的毒力降低,四膜虫对ΔhemoD菌株具有更强的摄食能力,增殖能力也更强。针对凡纳滨对虾的攻毒实验,发现ΔhemoD菌株半数致死量为1.3×108 cfu/mL,相较于野生型菌株提高了5.06倍,ΔhemoD菌株定殖凡纳滨对虾肠道能力明显下降。病理切片结果显示,ΔhemoD菌株对肝胰腺的损伤能力相较于野生菌株也有所下降,肝胰腺细胞溶解及空泡化现象较轻微。这些研究结果表明,ΔhemoD菌株的毒性明显减弱,对四膜虫和凡纳滨对虾的致病力明显减弱,是一株减毒的副溶血弧菌菌株,为后续进一步开发副溶血弧菌减毒疫苗奠定基础。
2025, 34(3):696-706. DOI: 10.12024/jsou.20240404474
摘要:水下目标检测算法的研究是实现水下机器人智能捕捞的前提。水下目标检测任务中存在的目标模糊、小目标众多以及相互遮挡等问题对实现精确的目标检测提出了挑战,本研究提出了一种基于YOLOv7-tiny的水下目标算法YOLO-U。该算法通过引入具有结构重参数化的RepViT骨干网络,融合ESE通道注意力机制,增强水下模糊目标的特征提取能力;同时,设计了浅层坐标信息特征融合的特征金字塔网络CAFPN,进一步增强检测模型对方向和位置信息的敏感度,融合不同尺度的特征信息以提高小目标的检测能力;最后,采用WIoUv2边界框损失函数有效降低了简单示例对损失值的贡献,使得模型能够聚焦于遮挡目标,进一步提高遮挡目标的检测精度。YOLO-U算法在URPC2021数据集上mAP50取得了84.6%的检测效果,较YOLOv7-tiny、YOLOv5s和YOLOv8s分别提高了2.1%、5.2%和2.8%,检测结果显示,该算法可以有效提高水下目标检测精度,进一步改善水下模糊目标、小目标和遮挡目标的检测效果。
2025, 34(3):707-714. DOI: 10.12024/jsou.20240504556
摘要:为了解决传统虾蟹养殖投饵装置投饵过于集中的问题,以及研究渔场分布规律在虾蟹养殖中的应用,通过整体结构布局、储料舱、投饵装置、垃圾收集装置、控制系统和动力装置等方面的研究,完成了移动式自主投饵装置的机械结构及智能控制系统设计,进行了稳定性和运动可行性分析,并试制投饲装置样机,进行了水下立体投饲试验。该装置可搭载5 kg饵料,通过推进装置和压水舱进行水下立体投饲,能够模拟自然水域中虾蟹的行为模式,优化饲料分布,从而更贴近自然生态的投饲环境。试验结果表明,该装置可在水下6个不同深度进行投饲,投饲速度为4.9 kg/min,能够满足智能化立体投饲需求,并能收集养殖过程中产生的浮漂垃圾。该投饲装置投喂饲料灵活均匀,可代替人工投饲,减轻劳动强度。同时,可以借助该智能装置记录水体和虾蟹等相关参数,用于渔场分布状况的研究,进一步助力渔场分布规律在水产养殖中的应用,为智慧化精准化养殖提供新的思路。
您是本站第 访问者
通信地址:上海市浦东新区沪城环路999号
邮编:201306 传真:021-61900229
电话:021-61900229 E-mail:xuebao@shou.edu.cn
技术支持:北京勤云科技发展有限公司
上海海洋大学学报 ® 2026 网站版权所有 ICP:京ICP备09084417号-36
